By Miranda Lassar and Winston Jiang
As the college process kicks into high gear, many South students find themselves needing supplemental help in order to achieve their desired scores on the standardized SAT/ACT tests.
Junior Giulio Cataldo claims to have a solid understanding of the material necessary of the material necessary for the SAT tests, but finds that he needs extra support with the actual test taking process.
“School subjects tend to be more straightforward and you have teachers there to help you, but the SAT is more about taking the test, so with a SAT tutor I can make sure that I’m taking the test correctly,” Cataldo said.
For many students like Cataldo, test-taking skills do not come naturally, but must be honed and developed with extra help from tutors.
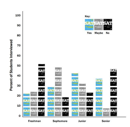
Of 46 juniors surveyed about whether they have tutors, 43% said they already had SAT or ACT tutors.
Of 50 Freshmen and Sophomores surveyed with the same question, 24% were planning to get an SAT or ACT tutor and an additional 30% were open to the idea of a hiring a tutor.
Junior Bella Ehrlich, who has an ACT tutor, wishes that South offered a course that helped her stay on track
“I think it is really about test taking and practice and I can’t make myself practice unless I have a deadline… they could make a class where you just had to make a deadline instead of going to a [separate] class and make it free” Ehrlich said.
According to IBIS World’s Tutoring & Test Preparation Franchises market research report, Newton South students are not alone in their need for test taking help. Tutor use specifically for standardized tests has grown in recent years and now comprises 35% of the industry’s $861 million in revenue.
However, some students elect to forgo tutoring and take the tests without extra help due to certain constraints.
“I don’t really feel like I have that much time for someone to tutor me,” junior John Aber said.
Freshman Janam Shankar also feels that the time needed for a tutor cuts into his daily activities, and having a tutor can even be counterproductive.
“You have to spend time with the tutor. Stuff like that can get in the way of other things you might want to do during that time,” Shankar said.
Shankar, like some other students, prefers just to study on his own.
Guidance Counselor Jim Medeiros notes that studying for standardized tests is ultimately an individual process and some students need additional support from tutors to guide them through the process.
“[SAT/ACT tutoring] can be for certain students. I think that it is an individual process for everyone, and I think that tutoring can be helpful for some students,” Medeiros said.


